Lezione del 21/12/1999 - ore 14,30-16,30

Autore: Manuel Tagliavini - matr. 117854

 

Scambio Termico

Ponendo 2 corpi A e B a temperatura diversa (rispettivamente Ta e Tb) a contatto tra loro si verifica una trasformazione di energia finché raggiungeranno una temperatura intermedia (che chiameremo Tc) che sarà compresa fra quelle iniziali dei 2 corpi.

Dal punto di vista della termodinamica il tempo impiegato da questo fenomeno per verificarsi è irrilevante, in quanto la termodinamica studia gli stati e non i processi; quindi il fatto che il processo abbia impiegato diversi tempi non cambia il risultato termodinamico.

Studieremo ora invece la Termocinetica, scienza che si occupa dello scambio di energia tra i sistemi, come per la termodinamica, ma con grande interesse per l’aspetto temporale, in quanto scopo della termocinetica è quantificare i tempi necessari ai trasferimenti di energia. Non parleremo quindi più di quantità di calore, ma di potenze, cioè di calore trasferito nell’unità di tempo. La velocità di scambio di calore diventa quindi il parametro su cui puntare la nostra attenzione, al posto della quantità assoluta che viene trasferita in un tempo infinito; infatti questa è ingegneristicamente irrilevante perché nei processi utili nella tecnica non si ha generalmente il tempo di aspettare all’infinito. Vogliamo al contrario studiare i trasferimenti di energia in tempi finiti e possibilmente brevi.

In certe situazioni vogliamo massimizzare lo scambio termico, mentre in altre situazioni non vogliamo che i corpi scambino calore e quindi dobbiamo trovare soluzioni che minimizzino questa potenza termica scambiata

 

Modalità di scambio termico

In generale lo scambio termico può avvenire secondo 3 modalità (o metodi di trasporto o canali di trasferimento):

Tuttavia queste sono schematizzazioni concettuali, per cui talvolta se ne verificano due o tutte contemporaneamente.

  1. In questo caso i 2 corpi (A e B) sono a diretto contatto l’uno con l’altro; è quindi un trasferimento diretto che coinvolge il regime vibrazionale delle molecole dei solidi o liquidi, nel senso che le molecole del corpo più caldo vibrano di più e trasferiscono questa loro energia vibrante per contatto diretto alle molecole del corpo più freddo, che stavano inizialmente vibrando di meno.

  2. Il fenomeno della convezione invece si ha quando i 2 corpi non sono a contatto diretto fra loro, ma per esempio può esservi l’aria fra di loro. Bisogna fare attenzione in quanto, se l’aria sta ferma, possiamo avere uno scambio per conduzione (vedi punto 1). Se al contrario l’aria è in movimento abbiamo uno scambio convettivo, poiché il trasporto è aumentato dal fatto che le particelle calde dell’aria portano energia al corpo freddo e in seguito tornano indietro a prelevare altra energia dal corpo caldo: si crea quindi un fenomeno di circolazione convettiva. Se poi utilizziamo un ventilatore, la convezione diventa forzata e lo scambio termico aumenta ulteriormente.

     

  3. Abbiamo infine lo scambio termico per irraggiamento, fenomeno che non richiede la presenza di un mezzo perché vi sia scambio di energia. Ad esempio nel vuoto cosmico, se due corpi "si vedono", ciascuno dei 2 irradia nello spazio una certa emissione elettromagnetica, che sarà più forte nel caso del corpo più caldo. Questa emissione può essere costituita da onde radio, luce, infrarosso, ultravioletto, raggi X, raggi g , raggi cosmici. Basti pensare al caso di un pianeta e di una stella: quest’ultima ha una radiazione magnetica molto grande, essendo caldissima, mentre il pianeta, poiché è freddo, ha una radiazione magnetica molto più modesta, quindi il bilancio energetico ci indica che una certa quantità di energia si è trasferita dalla stella al pianeta. E’ esattamente ciò che accade fra il Sole e il pianeta Terra: il nostro pianeta tuttavia non assorbe solamente energia dal Sole, ma anch’esso è dotato di un’attività esogena, legata a una serie di fenomeni che avvengono nel nucleo terrestre, fenomeni che producono una certa potenza termica, smaltita nello spazio. Indubbiamente è maggiore la potenza che la Terra riceve dallo "spazio" che viceversa.

Abbiamo quindi 3 fenomeni di scambio termico che sono sostanzialmente indipendenti, ma che possono anche essere sovrapposti. Se ho due corpi A e B che si "vedono" attraverso un mezzo trasparente, ho scambio termico per irraggiamento e simultaneamente per convezione (attraverso l’aria); se poi le pareti solide che chiudono la cavità posta tra i due corpi sono costituite da due pareti metalliche posso avere anche scambio termico per conduzione (vedi figura).

 

Lo scambio termico è una scienza che ha raggiunto la piena maturità alla fine degli anni ’30, tuttavia va ricordato che per buona parte del secolo scorso questo fenomeno non era stato ancora compreso in termini energetici. Veniva invece descritto in termini fluidodinamici: si ipotizzava l’esistenza di un fluido, chiamato calorico, che impregnasse tutti i corpi in misura più o meno maggiore a seconda della loro temperatura (più calorico aveva e più questa era alta). Si pensava che quindi mettendo a contatto due corpi a una temperatura diversa, questo "fluido" migrasse da un corpo all’altro. Questo calorico era considerato un fluido alla stregua dell’acqua, quindi con le sue stesse caratteristiche; i vari corpi erano quindi considerati, sotto questo punto di vista, una sorta di spugne, più o meno "porose" al calorico, cioè più o meno inclini ad assorbire e a rilasciare questo "fluido".

Questa teoria è stata ritenuta valida per più di un secolo, prima di venire demolita dalle evidenze della termodinamica moderna, quindi ancora oggi questa teoria del calorico é presente nel modo di ragionare di molta gente e anche di molti tecnici, in quanto l’analisi energetica non è ancora del tutto diffusa.

 

Aspetto energetico

La grandezza primaria che rappresenta la velocità dello scambio termico si chiama densità di flusso di calore e si indica con il simbolo . Rappresenta un’energia che passa per secondo e per m2 e quindi si misura in . E’ sostanzialmente la stessa grandezza che in acustica chiamiamo intensità e indichiamo con il simbolo I. Nella parte relativa allo studio dello scambio termico per irraggiamento torneremo a chiamare questa grandezza Intensità di irraggiamento e a indicarla di nuovo con I. Tuttavia, poiché tradizionalmente le scienze termiche si sono occupate primariamente di conduzione e convezione, mentre gli scienziati si occupavano per lo più di irraggiamento, manterremo qui il simbolo . E’ quindi scopo del nostro studio determinare quale è il valore della densità di flusso di calore, cioè la potenza termica scambiata per unità di superficie. In generale vedremo che esistono formule relativamente semplici che legano la densità di flusso di calore con le temperature in gioco secondo una relazione di causa – effetto. E’ la differenza di temperatura che causa il flusso di calore, il quale cessa quando i due corpi A e B hanno la stessa temperatura: questo è un risultato che ci fornisce la termodinamica, mentre solo la termocinetica ci dice che tanto maggiore è la differenza di temperatura, tanto più rapido sarà lo scambio termico. Purtroppo quest’ultima relazione non è lineare: quindi, a differenza di molte altre scienze (è il caso dell’acustica), non è vero che raddoppiando la differenza di temperatura raddoppi anche la potenza termica scambiata.

 

Concetto di linearità

Dato un sistema con un ingresso e un’uscita, possiamo chiamare questo sistema lineare quando è verificata questa condizione: se abbiamo in ingresso A e in uscita B e se abbiamo in ingresso C e in uscita D, allora quando abbiamo in ingresso A + C dobbiamo aver in uscita B + D perché il sistema sia lineare.

In generale per lo scambio termico non vale il principio di linearità: quindi dando due diverse differenze di temperatura come ingresso, troviamo due flussi diversi, se diamo in ingresso una terza differenza di temperature pari alla somma delle due precedenti, troviamo un flusso finale che non è la somma dei due precedenti. Abbiamo tuttavia anche casi particolari in cui riusciamo a ricondurci a una situazione di linearità, ma in generale lo scambio termico è un fenomeno fortemente non lineare. Per dimostrare ciò possiamo anticipare che in termini irraggianti la potenza scambiata è proporzionale tramite un certo fattore di irraggiamento k alla differenza tra le quarte potenze delle temperature ottenute, cioè (1).

 

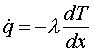
Legge di Fourier

Nel campo della conduzione, sotto ipotesi sufficientemente restrittive, si può ritenere il fenomeno lineare, in particolare si ipotizza una legge fisica (e per il fatto di essere tale è approssimata) chiamata legge di Fourier. Questa sancisce la proporzionalità tra la densità di flusso di calore e il gradiente di temperatura:

(2)

con grad(T) = derivata spaziale dello scalare temperatura.

 

 

Con T(x,y,z,t ) il campo scalare delle temperature all’interno del volume V; questo campo, come possiamo vedere, varia nello spazio ma anche nel tempo per i transitori. La derivata spaziale di questo campo scalare rappresenta un vettore che in ogni punto è diretto verso le temperature crescenti. Il vettore gradiente è così perpendicolare alle superfici isoterme e quindi orientato nel verso dell’isoterma maggiore.

In due dimensioni abbiamo:

Nel caso in figura sopra, dato il vettore gradiente che punta verso l’esterno, abbiamo temperature crescenti andando dal centro verso l’esterno del corpo sopra considerato. Il modulo di questo vettore è proporzionale a quanto rapidamente nello spazio la temperatura varia: quanto più le isoterme sono fra loro vicine, tanto più alto sarà il gradiente e quindi, per la legge di Fourier, tanto più grande sarà lo scambio termico. Quindi quando abbiamo 2 corpi (uno caldo e uno freddo) e li avviciniamo cresce il gradiente, cioè impiegano meno tempo a scambiarsi calore. Abbiamo nella formula il segno meno perché il verso del vettore gradiente è quello delle temperature crescenti, mentre il verso del vettore densità di calore è verso le temperature decrescenti (il calore va dai corpi a temperatura più alta a quelli a temperatura più bassa). Quella appena considerata è un’equazione vettoriale, per cui sia che il gradiente sono due vettori, di solito con la stessa direzione, per cui ci interessa per lo più valutarne il modulo.

Il termine che indica la proporzionalità tra densità di flusso termico con il gradiente non è vettoriale e si indica con l o con k ed è chiamato conducibilità termica. Un tempo, prima dell’avvento del Sistema Internazionale, veniva chiamato coefficiente di conducibilità termica, mentre oggi il termine "coefficiente" è riservato per i numeri puri.

Per determinare le unità di misura di l dalla legge di Fourier abbiamo che si misurano in , quindi [l ] si misura in (cioè in ).

La conducibilità termica ha quindi un’unità di misura senza un nome convenzionale.

A titolo di esempio, citiamo il poliuretano espanso e la lana di vetro, che hanno i valori di l più bassi e molto prossimi a quello dell’aria (0,026), e l’Argento (420) e il Rame (395), con valori fra i più alti.

(Per una lista completa di materiali con i relativi valori di l vedi la tabella in appendice).

Altra considerazione importante è che l non è costante; infatti l = l (T), cioè l stesso è funzione della temperatura. Tuttavia questo fatto non invalida la legge di Fourier, ma ne rende solamente più difficile l’applicazione, perché spesso in un problema di scambio termico le incognite non sono il flusso, ma le temperature. In questo caso dobbiamo procedere usando valori di tentativo della temperatura T, con questi ricaviamo dai grafici o dalle tabelle le relative l , con questi ultimi valori risolviamo il problema, e infine troviamo le temperature e verifichiamo che siano uguali a quelle di tentativo. Se non lo sono procediamo di nuovo in questo modo con nuove temperature di tentativo fino a che il risultato non si è stabilizzato.

Fortunatamente la dipendenza di l dalla temperatura è modesta e normalmente è lineare, quindi possiamo scrivere (3), dove è la conducibilità a 0°C, e B rappresenta la variazione di l per grado di temperatura. Questo B è normalmente piccolo rispetto a , quindi la variazione di l con la temperatura è in alcuni casi trascurabile, mentre in altri è valutata solamente come effetto del secondo ordine. Così, mentre in termini analitici non possiamo considerare l = costante, questo è possibile nei casi pratici, in quanto l’errore introdotto con questa semplificazione è trascurabile, considerando poi il fatto che lo scambio termico non è una scienza esatta, ma si hanno sistematicamente errori anche del 20 % – 30 %.

 

Equazione di Fourier

Notiamo che c’è un legame formale tra la legge costitutiva (di Fourier) e il fatto che possiamo costituire un’equazione differenziale di 2° ordine che rappresenta la dinamica del fenomeno. Equivalentemente avevamo in acustica la legge di Eulero, su cui si costruisce l’equazione di D’Alambert, e nel moto dei fluidi la legge di Newton, che sta alla base dell’equazione di Navier. Ma mentre nei due casi appena citati passare all’equazione rappresentava solo una pura operazione analitica, nel caso dello scambio termico passare dalla legge fisica alla relativa equazione di Fourier può avere una qualche utilità pratica perché i problemi di scambio termico per conduzione si risolvono tramite integrazione numerica dell’equazione di Fourier.

E’ proprio quello che ci accingiamo a fare per lo studio dei transitori termici, applicando il metodo delle differenze finite. Vi sono però anche molti casi in cui la legge di Fourier da sola risolve il problema, senza ricorrere a equazioni differenziali, spesso difficili da risolvere.

 

Esempio: Lastra piana

Prendiamo una lastra piana indefinita di spessore costante S con le pareti rispettivamente a temperatura TA e TB. Sia inoltre il materiale considerato con un valore costante della conducibilità l . Quello che vogliamo determinare è il profilo di temperatura dentro il materiale e la quantità di calore che si scambia tra la faccia A e la faccia B.

In termini di coordinate cartesiane, se prendiamo (come in figura sopra) l’asse x nella stessa direzione dello spessore della lastra, non abbiamo dipendenza da y e da z, in quanto la lastra stessa in queste 2 direzioni è piana e indefinita. Con queste notazioni abbiamo che

(4).

Le ipotesi semplificative che rendono possibile l’utilizzo della sola legge di Fourier al posto della relativa equazione richiedono lo studio in regime stazionario, e quindi dobbiamo abolire la dipendenza temporale.

Supponiamo che inizialmente la lastra si trovi tutta alla temperatura TB e che all’istante t = 0+ la temperatura T (x = 0) = TA. In questo istante accade che il diagramma delle temperature si presenta con un aspetto ad "L" come indicato in figura (in termini acustici diremmo che si tratti di un d di Dirac). Negli istanti successivi la curva, vedendo aumentare la temperatura sulla faccia B, troverà, dopo un tempo sufficientemente lungo, una posizione di equilibrio assumendo infine un andamento lineare al termine del transitorio. Arrivando alla condizione di regime possiamo notare che la dipendenza dal tempo è scomparsa; valutare analiticamente la e la durante questo regime di transitorio è un’operazione molto complessa, per cui si può fare solo per integrazione numerica.

Ma nel nostro caso non consideriamo questa problematica e ci poniamo direttamente nella condizione alla fine del transitorio. Così la dipendenza della temperatura dal tempo scompare e otteniamo (5), che è una derivata ordinaria e non più una derivata parziale.

Prendendo quindi uno strato infinitesimo di spessore dx nella lastra considerata, posso fare un bilancio dell’energia che entra all’ascissa x e dell’energia che esce all’ascissa x + dx ottenendo:

  (6)

Il primo principio mi dice che il calore scambiato è uguale alla variazione dell’energia interna, ma questa è anche uguale al prodotto del calore specifico (C) per la massa (r ·dx) per la variazione di temperatura (dT), per cui ho:

  (7)

Ma poiché avevo ipotizzato di essere in regime stazionario, la temperatura non può più variare e dT = 0 e ottengo:

  (8)

Si ha perciò che tanto calore entra dalla faccia A tanto ne esce dalla faccia B: quindi concludiamo che, a regime, non dipende più neanche da x ed è diventata una costante. Allora quella considerata è diventata una semplice equazione differenziale a variabili separabili:

  (9) ®

integrando nella variabile dx tra 0 e S e la dT tra TA e TB otteniamo:

® (10).

Abbiamo così determinato la densità di flusso attraverso una lastra piana caratterizzata dallo spessore S e dalla conducibilità l in regime stazionario.

Calcoliamo ora la Tx, cioè la temperatura in un punto all’interno della lastra a una distanza x dalla faccia A. Per fare ciò è sufficiente eseguire gli stessi calcoli integrando tra l’ascissa 0 e l’ascissa x:

® (11)

Concludo così che la temperatura varia linearmente da TA a Tx; come vediamo dal diagramma abbiamo una retta che congiunge i punti (0,TA) e (S,TB).

Possiamo ora ricavare l’equazione di Fourier partendo dalla legge di Fourier e dal 1° principio della termodinamica. Prendiamo un elemento di volume nel campo scalare delle temperature e scriviamo per esso l’equazione di bilancio dell’energia. A differenza di quello che abbiamo fatto prima, ora dobbiamo prendere in considerazione la possibilità che cambi la quantità di energia presente nell’elemento

di volume considerato. Vediamo quindi l’elemento di volume dV nello spazio cartesiano x, y, z:

L’elemento di volume infinitesimo ha un’energia interna data da:

  (12)

e la sua variazione nel tempo sarà uguale al flusso infinitesimo che entra nell’elemento di volume:

  (13)

Abbiamo trascurato il temine dL in quanto si tratta di un problema di pura conduzione e quindi siamo in fluido che non si sta deformando e che quindi non si può permettere lavori di volume p·dV dovuti alla compressione o alla dilatazione. Abbiamo supposto di essere in un solido, per cui rimangono costanti la massa, la forma e le dimensioni, mentre può variare solo la temperatura. Si ha quindi:

  (14)

Possiamo scomporre la quantità di calore che entra nel volume in due contributi: vi è una quantità di calore scambiata al contorno (dQSC) e una quantità di calore generata all’interno dell’elemento di volume (dQG). Con quest’ultimo termine riteniamo possibile il fenomeno della generazione di calore, che può essere causato dai fenomeni nucleari, da reazioni chimiche o dall’effetto Joule per il passaggio di una corrente elettrica. Quest’ultima causa è quella ingegneristicamente più interessante, perché riguarda i problemi di raffreddamento della componentistica elettronica. Abbiamo quindi:

  (15)

La quantificazione del termine generativo dQG si fa scrivendo una generazione per unità di volume () che va moltiplicata per il volume dell’elemento (dV) e per un tempo infinitesimo (dt ):

  (16)

che è una potenza per un dt . Notiamo inoltre che il termine è il calore generato nell’unità di tempo dall’unità di volume e si calcola in . Abbiamo perciò un’equazione differenziale del 2° ordine, data dal fatto che dQG è un infinitesimo sia spazialmente che temporalmente. Analogamente anche il calore scambiato è un infinitesimo del 2° ordine, posso ottenerlo integrando:

  (17)

non è detto che sia ortogonale alle facce dell’elemento di volume, quindi per considerare solo questa componente devo moltiplicare per il versore . Il segno meno è presente per le convenzioni sul calore scambiato nella termodinamica. Utilizzando poi il teorema della divergenza passiamo da un integrale di superficie ad uno di volume ottenendo:

  (18)

Avendo un volume infinitesimo dV possiamo cancellare il segno di integrale, per cui:

 (19) con

Arriviamo poi a un’espressione del tipo:

  (20)

per cui dividendo per dV e per dt e portando fuori dalla divergenza l perché considerata costante, otteniamo l’equazione di Fourier:

  (21)

E’ l’equazione usata per determinare i transitori termici, avendo disponibile la derivata della temperatura rispetto al tempo () che non è nulla finché non arriviamo a regime. Inoltre, grazie alla presenza del termine generativo (), l’equazione si presta allo studio delle distribuzioni del flusso di calore e della temperatura all’interno dei conduttori percorsi da corrente elettrica.

In generale non capita mai di studiare contemporaneamente l’equazione con termine generativo e con la derivata temporale, per cui trascuro o un termine o l’altro; il caso più frequente è quello in cui trascuro il termine generativo, per cui ottengo un’equazione del tipo:

  (22) con

con il termine a 2 misurato in e chiamato diffusività termica. Guardando la struttura dell’equazione sopra possiamo notare la somiglianza con l’equazione di Helmotz: quindi abbiamo un termine non troppo diverso dalla velocità del suono. Effettivamente la diffusività è proporzionale alla velocità con cui il materiale "si accorge" di una variazione di temperatura. Notiamo inoltre che la diffusività termica ha le stesse dimensioni fisiche della viscosità cinematica, e mantiene la stessa funzione analitica che quest’ultima ha nell’equazione di Navier.

Abbiamo quindi un’assonanza formale, ma anche fisica, tra le grandezze nei vari campi della scienza; comprendendo ciò Raynolds arrivò a definire il concetto di analogia. Grazie a questo concetto, tutt’oggi usatissimo, se abbiamo due problemi scientifici notevolmente diversi, è comunque possibile, sotto varie ipotesi semplificative, arrivare a formulare le soluzioni con la stessa struttura analitica. Se quindi siamo in un sistema di unità di misura coerente, l’analogia di Raynolds ci dice che, risolto un problema in un campo scientifico, sono risolti quelli corrispondenti in tutti gli altri campi. Questo concetto è stato alla base dei cosiddetti calcolatori analogici, utilizzati per simulare problemi fisici complessi attraverso la formulazione del modello matematico e del corrispondente circuito elettrico RLC. Quindi anche l’equazione di Fourier, nella sua formulazione semplificata (cioè senza il termine generativo), diventa analoga ad altre equazioni in altri campi fisici. Di solito, per utilizzare questo metodo, si rendono adimensionali le grandezze fisiche, in modo da avere sistemi con solo numeri puri: è quella che chiamiamo teoria dei modelli.

Possiamo procedere ad un’ulteriore semplificazione, trascurando la derivata temporale, per ottenere:

  (23)

chiamata equazione di Laplace. Ciò sta a significare l’esistenza di un campo scalare solenoidale. La soluzione è, nella maggior parte dei casi, molto banale da trovare, e si risolve solitamente discretizzandola agli elementi finiti, soprattutto per quei problemi di scambio termico nei solidi a geometria complessa.

Concludiamo quindi dicendo che i problemi termici di conduzione reale si risolvono tipicamente con l’equazione di Fourier attraverso l’integrazione alle differenze finite quando ho un transitorio termico, mentre quando il problema non prevede variazioni nel tempo (ed è quindi in regime stazionario) si utilizza l’equazione di Laplace in termini di integrazione numerica agli elementi finiti. Nell’equazione di Laplace possiamo reintrodurre il termine generativo, permettendo ancora di applicare lo stesso metodo risolutivo. E’ quello che si fa per risolvere i problemi di raffreddamento di circuiti elettronici, normalmente risolti in regime stazionario e agli elementi finiti. Tuttavia è l’equazione di Fourier che dà le migliori soluzioni numeriche per lo scambio termico, dando luogo a soluzioni stabili e quindi a matrici invertibili; inoltre lo scambio termico per conduzione è un problema ben condizionato e non dà quindi luogo a problemi particolari di risoluzione.

 

Applicazioni

-Lastra piana

Utilizziamo l’equazione di Laplace per risolvere il problema della lastra piana visto in precedenza. Abbiamo quindi, come prima, una lastra piana indefinita di spessore S le cui facce A e B sono rispettivamente alle temperature TA e TB:

In questo caso monodimensionale, in cui la temperatura dipende solo da x l’equazione di Laplace diventa (24),

che integrata due volte dà prima

  (25) e quindi (26).

Posso ora trovare le costanti di integrazione A e B imponendo le condizioni al contorno:

e otteniamo:

 

 

E quindi (28).

Ora, per ottenere la densità di flusso di calore, deriviamo l’espressione appena ottenuta rispetto a x e moltiplichiamo tutto per l :

  (29)

che è la stessa espressione ricavata prima utilizzando la legge di Fourier.

 

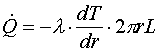
-Strato cilindrico

Consideriamo ora, come controesempio, uno strato cilindrico di un tubo di

lunghezza L caratterizzato da un raggio interno R1, da un raggio esterno R2 e da una conducibilità termica l ; assegniamo una temperatura T1 a R1 e una temperatura T2 a R2, come indicato in figura.

 

Per risolvere questo problema possiamo utilizzare sia la legge che l’equazione di Fourier: vediamo qui come procedere nel primo caso, per cui abbiamo:

  (30)

Ora non è più una costante, ma varia con il raggio, in quanto più mi avvicino al bordo esterno del cilindro e più la stessa quantità di energia va a distribuirsi su una superficie maggiore. Ora è invece costante la quantità di calore Q che passa attraverso le due superfici cilindriche. Quindi l’energia complessiva che entra attraverso uno superficie è uguale a quella che esce dalla seconda superficie. Quindi posso scrivere:

  (31)

e sostituendo in questa espressione la legge di Fourier ottengo:

  (32)

Ora, poiché la potenza totale in watt è costante, posso separare le variabili e integrare tra il raggio r1 e il raggio r2 e rispettivamente tra la temperatura T1 e la temperatura T2:

  (33) e risolvendo si ha:

  (34)

Da quest’ultima espressione possiamo ricavare la potenza complessiva scambiata da uno strato cilindrico:

  (35)

Quindi osserviamo che siamo giunti a una legge lineare, poiché lo scambio termico complessivo è proporzionale alla differenza di temperatura.

 

-Sfera cava

Consideriamo ora una sfera cava caratterizzata da un raggio interno R1, da un raggio esterno R2, dalle due temperature rispettivamente di T1 e T2 sulle due pareti (interna ed esterna) e da una conducibilità termica l .

Anche in questo caso dipende dal raggio, mentre non Q. Ora la quantità di calore vale

  (36)

Analogamente all’esempio precedente, scriviamo con la legge di Fourier:

  (37)

Passo quindi a separare le variabili e a integrare analogamente a prima:

  (38) e risolvendo:

 

  (39)

Da questa ricaviamo facilmente la potenza totale scambiata:

  (40)

Vediamo anche in questo caso che i problemi di conduzione pura, con l costante, sono lineari; essi danno luogo a un flusso di calore proporzionale al salto di temperatura. Sono quindi problemi formalmente analoghi a problemi di conduzione elettrica (legge di Ohm), per cui possiamo definire una resistenza termica, equivalente alla resistenza elettrica, e definita da:

  (41)

Quindi nel caso del cilindro e della sfera cavi abbiamo rispettivamente:

  (42) (43)

 

Tabella

Materiale

Conducibilità termica a 20° C (W/mK)

Acqua (liquida in quiete a 20°C)

0,63

Aria (in quiete a 20°C)

0,026

Ghiaccio

2,20/2,50

Neve (appena caduta e per strati fino a 3 cm)

0,06

Neve (soffice, strati da 3 a 7 cm)

0,12

Neve (moderatamente compatta, strati da 7 a 10 cm)

0,23

Neve (compatta, strati da 20 a 40 cm)

0,70